ASCO 热评丨虞巍教授:尿路上皮癌最新进展一览

作者:肿瘤瞭望   日期:2023/6/13 14:00:52  浏览量:10049

肿瘤瞭望版权所有,谢绝任何形式转载,侵犯版权者必予法律追究。

2023年6月2日~6日,美国临床肿瘤学会(ASCO)年会将在芝加哥以线上线下结合的形式盛大召开。ASCO年会是世界上规模最大、学术水平最高、最具权威性的国际肿瘤会议之一,聚焦了全球肿瘤学者的目光。2023 ASCO年会以“携手患者,共筑抗癌研究与治疗基石”(Partnering With Patients:The Cornerstone of Cancer Care and Research)为主题,引领抗肿瘤治疗前沿。

编者按:2023年6月2日~6日,美国临床肿瘤学会(ASCO)年会将在芝加哥以线上线下结合的形式盛大召开。ASCO年会是世界上规模最大、学术水平最高、最具权威性的国际肿瘤会议之一,聚焦了全球肿瘤学者的目光。2023 ASCO年会以“携手患者,共筑抗癌研究与治疗基石”(Partnering With Patients:The Cornerstone of Cancer Care and Research)为主题,引领抗肿瘤治疗前沿。本次大会报道了多项尿路上皮癌早期治疗领域重磅研究,特此邀请北京大学第一医院虞巍教授进行汇总,以飨读者。
 
VESPER 5年OS公布
 
根治性膀胱切除术联合围手术期化疗是MIBC的标准治疗方案,但围手术期化疗的最佳方案仍有待讨论。既往研究中,报道了VESPER研究的主要终点,dd-MVAC较GC方案改善了患者3年PFS。在新辅助治疗组,dd-MVAC组观察到更佳的膀胱局部控制和3年PFS显著差异(P=0.025)。本次大会报告了随机随访5年后VESPERⅢ期试验的OS数据。
 
437例(88%)患者接受了新辅助化疗,60%的患者接受了计划6个疗程的dd-MVAC治疗,84%的患者接受了4个疗程的GC治疗,之后分别有91%和90%的患者接受了手术。最终中位随访时间为5年3个月,随访5年内报告了190例死亡。结果显示,dd-MVAC组改善了5年OS(64%vs 56%,HR=0.77[95%CI,0.58-1.03],P=0.078)和疾病特异性生存率(DSS)(5年生存率:72%vs 59%,HR=0.63[95%CI,0.46-0.86],P=0.004)。
 
 
死亡的主要原因是肿瘤进展(83%),其他原因包括心血管事件(4.2%)、中毒性死亡(2.1%)、二次癌症(2.1%),其他(4.7%)和未记录的死亡(4.2%)。在新辅助治疗组,dd-MVAC组的OS(5年:66%vs 57%,HR=0.70[95%CI,0.51-0.96],P=0.028)和DSS(5年:75%vs 60%,HR=0.56[95%CI,0.39-0.80],P=0.001)具有显著获益。研究表明对于MIBC的围手术期,dd-MVAC较GC显著改善了患者5年OS和DSS。
 
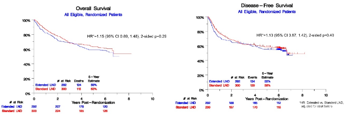
SWOG S1011的扩大淋巴结切除术获益分析
 
S1011研究假设在接受根治性膀胱切除术(RC)的局部肌层浸润性膀胱癌(MIBC)患者中,与标准淋巴结切除术(SLND)相比,扩大淋巴结切除术(ELND)与DFS和OS改善相关。研究纳入cT2-4a N0-2期的患者,根据接受新辅助化疗(NAC)的方案、T2 vs T3-4a和PS 0-1 vs 2进行分层。研究假设SLND组3年DFS预计为55%,ELND组患者的3年DFS改善率为10-12%(HR=0.72)。次要终点为OS和安全性。
 
618例符合条件的患者被随机分配至ELND组(n=292)和SLND组(n=300),中位随访时间6.1年。患者中位年龄为69岁,21%为女性,9%非白人。两组患者的临床分期较均衡:T2(71%)和T3-4a(29%)。两组均有57%的患者接受NAC治疗。两组的病理分期为:SLND组和ELND组分别有39%和37%的患者<T2期,>T2期分别为61%和63%。ELND组的中位淋巴结切除率高于SLND组(41 vs 25),但淋巴结转移率无差异,分别为26%和24%。更多的ELND患者患有N2或N3期病灶。与SLND组相比,ELND组与3-4级AEs增加相关:16%vs 8%。26例(4.4%)患者在接受RC后90天内死亡,其中ELND组16例,SLND组9例。两组的DFS无差异(HR 1.10;95%CI 0.87,1.42),单侧LR P=0.82。OS结果相似(HR 1.15;95%CI 0.89,1.48),单侧LR P=0.87。
 
 
与接受SLND的患者相比,接受RC和ELND的MIBC患者中淋巴结产率增加,且病理N分期较高,但未获得显著的DFS或OS获益。ELND还与较高的发病率和较高的围手术期死亡率相关。
 
TMT联合帕博利珠单抗治疗MIUC
 
三联疗法(TMT)是MIUC的标准治疗方案。研究人员之前报道了一项pembro联合TMT的Ⅱ期研究的早期分析,包括最大限度经尿道膀胱肿瘤电切术(TURBT)、低分割RT和每周两次gem(ASCO 2021)。研究纳入T2-T4aN0M0、ECOG PS 0/1和eGFR≥30 cc/min的MIUC患者,接受一个周期的pembro 200 mg IV,随后接受最大限度TURBT治疗,然后接受全膀胱RT(52 Gy/20 fx)和每周两次的gem 27mg/m2或接受每3周一次、共3次的pembro 200mg IV治疗。接受RT治疗后每12周评估一次疗效。研究主要终点为2年膀胱完整无病生存率(BIDFS),主要次要终点包括安全性、12周病理完全缓解(CR)率、无转移生存期(MFS)和总生存期(OS)。本次大会介绍了最新随访安全性和有效性结果。
 
2016年5月至2022年6月,共纳入54例患者,中位年龄74岁,其中46例(88%)患者完成了所有治疗。1/54(2%)、3/54(6%)和4/54(7%)分别停用RT/gem、gem或pembro,最常见的原因是毒性。6例(11%)患者接受了挽救性膀胱切除术。截至2022年6月,中位FU 23个月(1.6-62.7),有12例(22%)患者肿瘤复发(3例MIUC,5例局部复发,4例远处转移)。4例(7%)患者发生非肌层浸润性复发。疗效结果如图所示。本次更新的分析中,未发现新的安全性信号:13例(24%)患者经历了17次≥3级AEs(细胞减少[n=7]、结肠炎[n=5]、膀胱炎[n=2],多发性神经病、疲劳、低钾血症[n=1,每例])。≥3级免疫相关AEs包括2例结肠炎、1例多发性神经病和1例5级结肠穿孔患者。研究表明,TMT联合pembro具有良好的耐受性,且早期数据有望为阳性结果。该联合方案的一项大型的Ⅲ期试验正在进行中,以进一步探索联合治疗的疗效。
 
 
RESECT研究分析TURBT的地区差异
 
RESECT研究旨在探索考虑肿瘤特征后,不同地区之间经尿道膀胱肿瘤电切术(TURBT)的患者早期复发是否存在显著差异。该研究为一项国际多中心观察性研究,综合了肿瘤大小、肿瘤数量、肿瘤分级、肿瘤分期为固定效应、地区为随机效应的混合效应logistic回归模型。首先,假设包含非肌层浸润性膀胱癌(NMIBC)接受TURBT的病例。研究排除未完成第一次随访的病例和第一次随访少于10例病例的地区。
 
经排除后,共纳入186个地区的4597例病例。每个地区低级别肿瘤的中位复发率为12%(IQR 0-22),高级别肿瘤为27%(IQR 13-42)。在控制了肿瘤大小、数量、分期和分级等与早期复发显著且独立相关的因素后,存在可归因为地区的显著残差变异(P<0.0001,类内相关性为0.1)。对地区的调整改善了回归模型,使受试者工作特征曲线下的面积从0.66提高到0.74。对手术和围手术期的初步分析显示差异较大,每个地区平均75%(IQR 66-92)的病例进行了逼尿肌切除术,42%(IQR 17-58)的患者接受单次膀胱灌注化疗。TURBT手术后NMIBC的早期复发率在不同地区之间存在显著差异,这无法用目前所了解的肿瘤特征来解释。目前已经确定了可能影响这一点的手术和围手术期实践的差异,有必要进一步研究这些因素如何影响复发率。
 
 
根治性手术联合或不联合(新)辅助基于顺铂的化疗[(N)AC]是肌层浸润性膀胱尿路上皮癌(UBC)和上尿路上皮癌(UTUC)的标准治疗方案,但复发率较高,仍需要探索新的治疗方法。据报道,高达70%的UTUC和20%的UBC存在FGFR3突变,因此可考虑进行靶向治疗。Infigratinib是一种选择性FGFR1-3抑制剂,对伴有FGFR3突变的晚期UC患者有一定疗效。RPOOF 302研究探索了infigratinib对比安慰剂用于高危侵袭性UC辅助治疗的疗效和安全性。
 
PROOF 302是一项全球随机、双盲、安慰剂对照的Ⅲ期试验,纳入NAC后伴有FGFR3改变(即突变、基因融合/易位)和有残存(≥ypT2和/或ypN+)病灶的高危侵袭性UTUC或UBC(≤15%)患者,或术后≤120天不符合或拒绝接受铂类为基础的AC治疗的患者。患者按1:1随机接受infigratinib 125mg或安慰剂治疗,每28天一个周期,在1-21天每天服用,共持续52周或直到患者复发、出现不可耐受的毒性或死亡。主要终点:中央审查的无病生存期(DFS);次要终点:研究者评估的DFS、MFS、OS和安全性/耐受性;探索终点:QOL、药代动力学、肿瘤基因组分析和cfDNA。
 
使用FoundationOne平台进行基因组分析结果显示,在筛选出的617例患者中,188例(30.5%)FGFR 1-4基因发生改变:UTUC患者102/237例(43%),MIBC患者85/369例(23%),1/11例(9%)肿瘤起源不明。在这188例患者中,中位年龄74岁(32-90岁),76%为男性,55%患有UTUC,44%患有UBC。该结果显示基因组改变。在UTUC患者中,FGFR3具有56%的单核苷酸变异(SNV)和插入/缺失(INDELS),40%的扩增和70%的结构变异(SV)。在UBC中,FGFR3具有44%的SNV和INDELS,60%的扩增和30%的SV。在PROOF-302筛选的所有患者中,仅19%的患者出现FGFR3改变,该试验对UTUC进行了富集:71/237(30%)的UTUC和48/369(13%)的UBC。
 
 
虞巍教授
北京大学第一医院泌尿外科
主任医师,教授,博士研究生导师
中国临床肿瘤学会尿路上皮癌委员会常委
中国抗癌协会中西整合前列腺癌专业委员会副主任委员
CUA基础学组委员
CUA尿控中青年医师联盟成员
中国中西医结合学会泌尿外科专业委员会肿瘤学组委员
北京肿瘤防治学会泌尿专委会常委
北京医学会肿瘤分会青委会委员
专长:泌尿系统肿瘤的微创及综合治疗
 
参考文献:
 
1.Multicenter randomized phase III trial of dose-dense methotrexate,vinblastine,doxorubicin,and cisplatin(dd-MVAC)or gemcitabine and cisplatin(GC)as perioperative chemotherapy for muscle-invasive bladder cancer(MIBC):Overall survival(OS)data at 5 years in the GETUG/AFU V05 VESPER trial.2023 ASCO,Oral Abstract Session,LBA4507.
 
2.SWOG S1011:A phase III surgical trial to evaluate the benefit of a standard versus an extended lymphadenectomy performed at time of radical cystectomy for muscle invasive urothelial cancer.2023 ASCO,Oral Abstract Session,4508.
 
3.Long-term outcomes of pembrolizumab(pembro)in combination with gemcitabine(gem)and concurrent hypofractionated radiation therapy(RT)as bladder sparing treatment for muscle-invasive urothelial cancer of the bladder(MIUC):A multicenter phase 2 trial.2023 ASCO,Abstract 4509.
 
4.Tumour factors and the variation in non-muscle invasive bladder cancer recurrence after transurethral resection surgery between sites:Results from the RESECT study.2023 ASCO,Abstract 4510.
 
5.Fibroblast growth factor receptor 3(FGFR3)alterations in PROOF 302:A phase III trial of infigratinib(BGJ398)as adjuvant therapy in patients(pts)with invasive urothelial carcinoma(UC).2023 ASCO,Abstract 4511.

本内容仅供医学专业人士参考


尿路上皮癌

分享到: 更多